Abstract
Background: The survival outcome of patients with chronic myeloid leukemia (CML) treated with tyrosine kinase inhibitors (TKI) is similar to that of the general population, thus more patients may experience second malignancies (SM). Little is known about survival outcome of SM in patients with CML.
Methods: TheSurveillance, Epidemiology and End Results (SEER) database was used to evaluate incidence and overall survial (OS) of 9 types of SM among adult (≥18 yrs) patients diagnosed with CML between 2001 and 2014. We excluded patients with history of solid cancer prior to diagnosis of CML. We excluded hematologic malignancies as SM to focus on survival outcome of solid cancer. We performed 1:1 matching for age, sex, year of diagnosis, stage, and, for breast cancer, HER2 and estrogen receptor status for patients with CML who developed SM and patients with same type of cancer without CML in SEER data to compare survival outcome for patients with or without background of CML.
Results: A total of 14,644 patients were diagnosed with CML during the study period. The median age was 59 years (range, 18-110 years). With a median follow up of 54 months (range: 0-167 months), 2508 patients died of CML, 2133 patients died of other cause and estimated 10-year OS and CML-specific survival rate was 54% and 76%, respectively. During the study period, 1736 (10-yr cumulative incidence (CI): 14.4%) CML patients developed breast cancer, 1340 (10-yr CI: 11.4%) prostate cancer, 1584 (10-yr CI: 14.0%) lung cancer, 1061 (10-yr CI: 9.2%) colorectal cancer, 984 (10-yr CI: 9.1%) melanoma, 485 (10-yr CI: 4.5%) bladder cancer, 375 (10-yr CI: 3.3%) kidney cancer, 289 (10-yr CI: 2.7%) pancreatic cancer, and 171 (10-yr CI: 1.6%) stomach cancer. Median time from diagnosis of CML to SM was 8.1 months (range: 0.9-168 months).
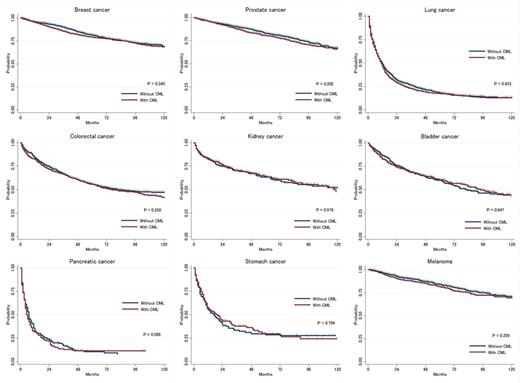
With 1:1 matched patient chort with or without CML, there was no significant difference in treatment modality for solid cancer between the two groups in these 9 types of solid cancer. Also, there was no significant difference in OS in all 9 type of SM for patients whether they had CML or not prior to the diagnosis with solid tumor (Figure). In CML patients who developed SM, CML was a cause of death in only 1-2% in all 9 types of solid cancer.
Conclusion: In the era of TKI, having CML as background is not affecting survival outcome of secondary solid cancer.
Kantarjian: Bristol-Meyers Squibb: Research Funding; Novartis: Research Funding; Delta-Fly Pharma: Research Funding; Amgen: Research Funding; ARIAD: Research Funding; Pfizer: Research Funding. Jabbour: Bristol-Myers Squibb: Consultancy. Cortes: Teva: Research Funding; ImmunoGen: Consultancy, Research Funding; ARIAD: Consultancy, Research Funding; Pfizer: Consultancy, Research Funding; Sun Pharma: Research Funding; BMS: Consultancy, Research Funding; Novartis Pharmaceuticals Corporation: Consultancy, Research Funding.
Author notes
Asterisk with author names denotes non-ASH members.
